
Location: Home > Products Center
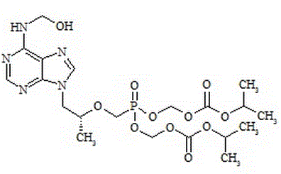
QT140629
Synonyms: 6N-Hydroxymethyl Tenofovir Disoproxil
Molecular Formula
C20H32N5O11P
Molecular Weight
549.48
CAS No.
1244022-53-4
QT140601
Tenofovir disoproxil Impurity A
Molecular Formula: C15H25N6O5P
Molecular Weight: 400.37
CAS No.: 851456-00-3;2734880-21-6(Li salt)
QT140602
Tenofovir disoproxil Impurity B
Molecular Formula: C21H36N7O6P
Molecular Weight: 513.53
CAS No.: 1883563-86-7
QT140603
Tenofovir disoproxil Impurity C
Molecular Formula: C21H22N5O4P
Molecular Weight: 439.4
CAS No.: 342631-41-8
QT140604
Tenofovir disoproxil Impurity D
Molecular Formula: C21H29N6O5P
Molecular Weight: 476.47
CAS No.: [NA]
QT140605
Tenofovir disoproxil Impurity E
Molecular Formula: C21H29N6O5P
Molecular Weight: 476.47
CAS No.: [NA]
QT140606
Tenofovir disoproxil Impurity F
Molecular Formula: C21H29N6O5P
Molecular Weight: 476.47
CAS No.: [NA]
QT140607
Tenofovir disoproxil Impurity G
Molecular Formula: C21H29N6O5P
Molecular Weight: 476.47
CAS No.: NA
QT140610
Tenofovir disoproxil Impurity J;Mono-POC Ethyl Tenofovir
Molecular Formula: C16H26N5O7P
Molecular Weight: 431.38
CAS No.: 1796539-92-8
QT140611
Tenofovir disoproxil fumarate IP Impurity D Fumarate;USP Tenofovir Disoproxil Related Compound G
Molecular Formula: C17H28N5O7P.C4H4O4
Molecular Weight: 445.41 116.07
CAS No.: 1422284-15-8;1246812-40-7(free base)
QT140612
Tenofovir disoproxil Impurity L
Molecular Formula: C20H28N5O14P
Molecular Weight: 593.44
CAS No.: [NA]